

I: Storage
- 정상상태이면, 0
II: Adection
- 이류를 무시하면, 0
III: Buoyant production/consumption
Production
- (+) 값을 가지고, 높이에 따라 선형적으로 감소한다.
- 지표면 근처에서는 크고 (+) 값임. 양의 의미는 ML에서의 thermal의 영향을 나타냄.
- 맑은 날에 크고, 흐린날에 작다.
Consumption
- 정적 안정인 경우, 부력이 억제됨으로 인해 (+)의 값을 가진다.
IV: Mechanical (Shear) Production
- 이 항이 (-)를 포함하고 있지만, 일반적으로 항 전체는 (+)값을 가진다. 왜냐하면 momentum flux는 shear와 반대 부호이기 때문.
- 연직 분포는 지표에서 최대값을 가짐
- 바람 부는 날에 최대.
- 밤에는 shear 만이 난류를 생성할 수 있음.
V: Turbulent Transport
- 난류 수송이 없다고 가정하면, 0
VI: Pressure correlation
- 기압변화를 무시하면, 0
VII: Dissipation
- 주간: 지표 근처에서 가장 크고 높이에 따라 일정하다. ML 상단에서는 감소하여 거의 0가 된다.
- 야간: 높이에 따라 TKE와 소산율 모두 급격하게 감소한다.
III, IV, VII 세 항만 고려하여 논의하면,
- 주간: shear + buoyant 에 의해 난류 강도는 증가하고 따라서 소산율도 증가하다.
- 야간: shear에 의해서만 난류가 생성되므로, 소산율은 낮다.


출처: Stull (1988)
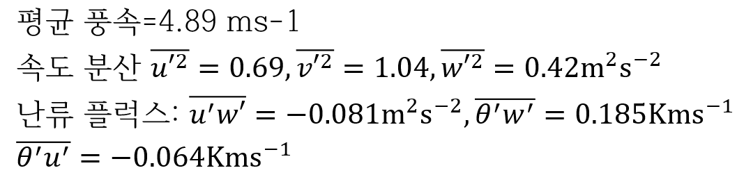
연습문제 (5급 공채 기출)
기상직 5급 공채 - 미기상학 (2018)
제1문 해설 강의 TKE 수지 방정식 I: Storage 정상상태이면, 0 II: Adection 이류를 무시하면, 0 III: Buoyant production/consumption Production (+) 값을 가지고, 높이에 따라 선형적으로 감소한다. 지표..
aeir.tistory.com




















































